第65回気象予報士試験・一般知識の過去問解説です。(合格基準10点以上)
解答だけでなく、「なぜその選択肢が正解・不正解になるのか」まで整理しています。
過去問演習で理解度を確認しながら、自分の現在地もチェックしてみましょう。
一般知識をまとめて復習したい方は、こちらの対策リンク集も参考にしてください。
【保存版】気象予報士 一般知識対策リンク集|後悔する前に読んでおきたい受験前の総整理!
問1 大気中のオゾン
気象業務支援センター
ポイント解説
(a)
成層圏でのオゾン生成の説明は問題文の通りです。
光解離と光電離の違いはよく理解しておくようにしましょう。
【5分で読める!】地球の大気とは?大気の成分と構造を図解でわかりやすく解説!
答えは〇です。
(b)
成層圏のオゾンの空間分布や季節変化は、太陽放射の強さや緯度分布のみならず、地球規模の大規模な循環など(ブリュワードブソン循環)も影響しています。
答えは×です。
(c)
北半球の高緯度でのオゾン全量は春に最大となりますので夏ではありません。
答えは×です。
よって解答は③です!
問2 静力学平衡
気象業務支援センター
ポイント解説
この問題では、静力学平衡の式ΔP=-ρgΔZが与えられており、このΔPを求めます。
ΔPを求めるためにはρgΔZを計算する必要がありますが、ρがわかりません。
ρを求めるためには気体の状態方程式を使用するんですね。
気体の状態方程式はPV=ρRTですので、数値を入れるとρ=500hPa/(250K×287JK-1kg-1)となります。
ちなみにVは1ですので、この式には関係がありません。
あとは問題文の式に数値をいれると、
ΔP=-500hPa/(250K×287JK-1kg-1)×10ms-2×100m≒-7.0hPa
よって解答は③です!
問3 仮温度と露点温度
気象業務支援センター
ポイント解説
仮温度、露点温度、相当温位の保存有無について考えていきましょう。
まず仮温度から。
仮温度というのは、湿潤空気と同じ密度になるよう乾燥空気の温度が何Kになるかを表した温度のこと。
Tv=T(1+0.61q)で表されます。
Tvが仮温度、Tが湿潤空気の温度、qは湿潤空気の混合比です。
空気が冷却されれば、Tが下がり、Tvも下がりますよね。
つまり値は一定でなく保存されません。
次に露点温度。
露点温度は水蒸気圧に依存します。
問題では、湿潤空気が混合せず、凝結しないため湿潤空気に含まれる水蒸気量は一定です。
また、気圧が一定、つまり水蒸気圧が一定で冷却されるだけなので露点温度は一定となります。
最後に相当温位。
相当温位は断熱で水蒸気が出入りしない場合に保存されます。
今回の問題では、気圧は一定ですが、外部から冷却されるという条件のため、相当温位は一定ではありません。
まとめると、仮温度は×、露点温度は〇、相当温位は×。
よって解答は④です!
問4 暖かい雨
気象業務支援センター
ポイント解説
(a)
水溶性のエーロゾルが純粋の水滴に溶け込むと、飽和水蒸気圧を低下させる働きをします。
水蒸気圧が下がるとその水滴が乾いた空気でも蒸発せず存在できることになります。
つまり雲粒ができやすくなるということ。
答えは×です。
(b)
凝結過程ではゆっくりしか成長せず、大きな雨滴となるには併合過程が重要ですね。
【5分で読める!】雨とは何か?仕組み・発生メカニズムを図解でわかりやすく解説!
答えは〇です。
(c)
併合過程では半径の大きな雨滴ほど、落下速度が増して衝突しやすくなり成長が加速します。
答えは×です。
よって解答は④です!
問5 電磁波の散乱
気象業務支援センター
ポイント解説
A、B、Cの順で考えていきましょう。
まずAから。
晴れた日の昼間に積雲が見られるというのはミー散乱が起こっており、波長の依存が弱く全色が散乱しているときにおこります。
使われる電磁波は可視光で0.3μm~0.8μm。
雲粒のサイズは可視光と同程度の1μm~10μmです。
次にB。
昼は空が青く、夕方西が赤いというのはレイリー散乱が起こっているときで短波長ほど強く散乱します。
昼は波長の短い青が強く散乱し、空が青くなり、夕方は光路がながくなり波長の長い赤が残りやすくなります。
使われる電磁波は可視光で0.3μm~0.8μm。
最後にC。
気象レーダーによって降水を観測できるときに使用される電磁波はマイクロ波。
波長は3cm~10cm。
散乱体というのは雨滴で1mm~5mmになりますね。
まとめると(a)は0.3μm~0.8μm、(b)は1μm~10μm、(c)は3cm~10cm。
よって解答は②です!
問6 慣性振動
気象業務支援センター
ポイント解説
(a)
北半球においてコリオリ力は進行方向に対し右向きに力がかかります。
右向きの力は円運動の向心力になるので、進むにつれ進行方向が右へ曲がり続け時計回りの円運動となります。
答えは時計回りです。
(b)
力のつり合いからfV=V2/rが成り立ちます。
つまりf=V/r。
円運動の半径がr、運動の速さがV、コリオリパラメータがfです。
円運動の周期は角速度をωとするとT=2π/ω。
ω=V/rなのでω=f。
つまりT=2π/ω=2π/f。
答えは2π/fです。
(c)
コリオリパラメータf=2ΩsinΘで表されます。
Ωは地球の回転速度。
このコリオリパラメータはよく出題されるので、必ず覚えておいてください。
円運動の周期=2π/f
高緯度ほどfは大きくなるので周期は短くなります。
答えは短くです。
よって解答は①です!
問7 傾度風平衡
気象業務支援センター
ポイント解説
この問題を解くポイントは地衡風及び傾度風の考え方を知っているかどうか。
地衡風は気圧傾度力とコリオリ力がつり合い吹く風で傾度風は気圧傾度力が遠心力とコリオリ力の和と釣り合って吹く風です。
【5分で読める!】傾度風や地上風とは何か?仕組みと特徴を図解でわかりやすく解説!
低気圧に対しては地衡風、傾度風は北半球では、このように反時計回りなります。

ちなみに、数式で表すと気圧傾度力が1/ρ×ΔP/ΔZ、遠心力がV2/r、コリオリ力がfV。
この問題では気圧傾度力は一定でしたね。
rが小さいと、遠心力が大きくなり、コリオリ力は小さくなります。
fVが小さくなるのでVは小さくなります。
一方rが大きいと、遠心力が小さくなり、コリオリ力は大きくなります。
これはコリオリ力と気圧傾度力が釣り合う地衡風Vεに近づくことを意味しています。
よって解答は⑤です!
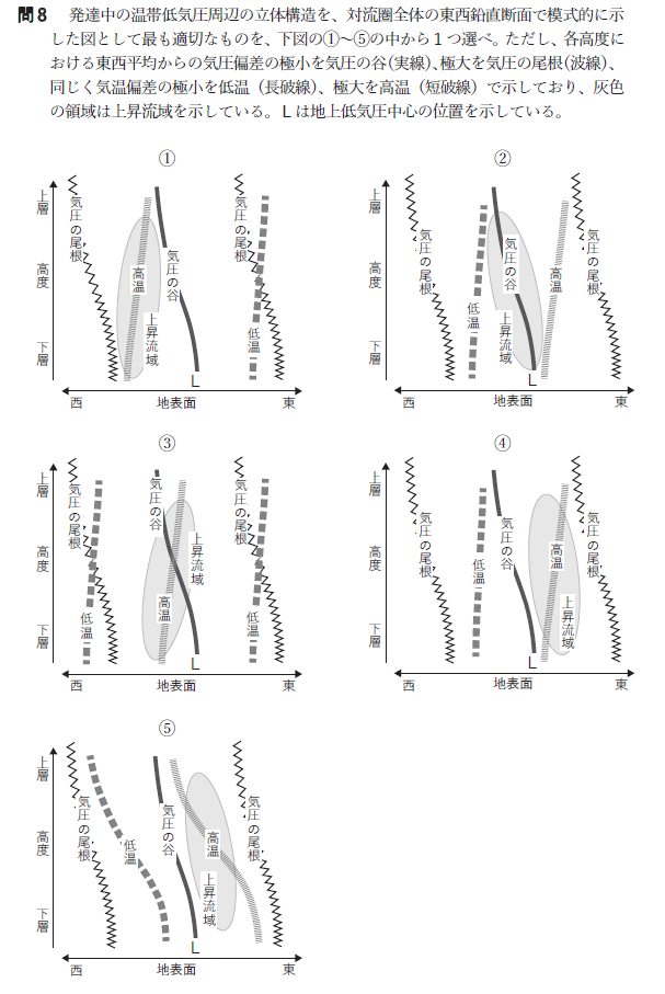
問8 温帯低気圧の立体構造
気象業務支援センター
ポイント解説
発達中の温帯低気圧の特徴として押さえておく点がいくつかあります。
まず、①気圧の谷の軸は上空に向かって西に傾いていること、そして②気圧の谷の軸の前面で気温が高く上昇流域、後面は気温が低く下降流域となることです。
これを満たすのは④か⑤。
温帯低気圧の進行方向前面では、寒気の上に暖気が乗り上げる形になります。
つまり、高温の軸は上空に向かって中心から東に遠ざかる方向になるはず。
それを満足するのは④しかありませんね。
よって解答は④です!
問9 1月の緯度高度分布
気象業務支援センター
ポイント解説
(a)
赤道域はハドレー循環の上昇流域であり、対流圏界面までの高度が高く、それに伴い気温が極小となります。
対流雲が消散することにより潜熱が失われるためではありません。
答えは×です。
(b)
1月といえば南半球は夏です。
夏極は入射する太陽の放射エネルギー量が増え、オゾンの紫外線吸収による加熱量が大きくなります。
中間圏からの下降流に伴う断熱圧縮ではありません。
答えは×です。
(c)
1月の南半球における中間圏では、上昇流による断熱膨張による冷却が働き気温が下がります。
答えは〇です。
よって解答は④です!
問10 海陸風
気象業務支援センター
ポイント解説
(a)
一般的に海風、つまり海から陸に向かって風が吹いているときは、陸が海より早く暖まり上昇流が起きやすくなります。
上昇流の起きる陸では低気圧、海で高気圧となり気圧は陸の方が低くなります。
答えは〇です。
(b)
海風は平野が広い、日射が強いなど条件がそろうと海岸線から数十km~100kmも内陸に到達することがあります。
答えは〇です。
(c)
海風が吹いているときその上空には陸から海に向かう反流が存在します。
風速は弱いですが、地表の摩擦が弱く海風より層は厚くなる傾向があります。
答えは×です。
よって解答は②です!
問11 二酸化炭素
気象業務支援センター
ポイント解説
(a)
1750年頃以降の大気中の二酸化炭素濃度の増加は、化石燃料の燃焼、セメント生産、森林伐採など人間活動によるものです。
答えは〇です。
(b)
2010年から2019年の10年間に化石燃料の消費などで人為的に排出された二酸化炭素のうち大気に残る割合は概ね5割で推移しています。
答えは〇です。
(c)
北半球中緯度の二酸化炭素濃度は植物の光合成が弱い冬から春にかけて増え、春が極大となり、夏に吸収が進んで秋に極小となります。
3月に極小、9月に極大としている問題文は逆なので間違いですね。
答えは×です。
よって解答は②です!
問12 予報業務を行う際の記録事項
気象業務支援センター
ポイント解説
(a)
予報業務を行った場合に記録しておかなければならない事項は以下の3つです。
①予報事項の内容及び発表の時刻
②予報事項に係る現象の予想を行った気象予報士の氏名
③気象庁の警報事項の利用者への伝達の状況
【テンプレ暗記用】気象予報士試験/一般知識法規問題の解答を全部丸暗記帳!
(a)は①に該当するので正解です。
①~③は頻出問題ですので、丸ごと覚えておくようにしましょう。
答えは〇です。
(b)
気象予報士の氏名の記録は必要ですが登録番号は不要です。
答えは×です。
(c)
予報業務を行った事業所の管理者の氏名は不要です。
答えは×です。
(d)
気象庁の警報事項の利用者への伝達の状況は(a)の通り記録が必要になります。
答えは〇です。
よって解答は③です!
問13 気象予報士
気象業務支援センター
ポイント解説
(a)
気象予報士の登録の申請にあたっては、合格してから登録までの期間に制約はありません。
ちなみに私は合格から3週間で登録をしました。
答えは〇です。
(b)
気象予報士は登録を受けた住所に変更があった場合は、遅延なく気象庁長官への届け出が必要です。
答えは〇です。
(c)
気象予報士本人が届け出をするのではなく、事業者が行う必要があります。
答えは×です。
(d)
気象予報士の登録が抹消されるのは刑法ではなく、気象業務法に違反したときですね。
答えは×です。
よって解答は①です!
問14 気象観測の届出
気象業務支援センター
ポイント解説
(a)
苗木などの特殊な環境を強く受ける観測は、周辺地域を代表する一般性がないため届出対象外となります。
周辺が広く開けた場所で標準的な設置条件を満たす場合は届出が必要。
答えは×です。
(b)
学会発表など研究目的の観測は届出対象外ですね。
答えは×です。
(c)
法人が観測データを自社HPで公開するのは不特定多数への公開、つまり成果の発表に該当するため届出が必要となります。
答えは〇です。
よって解答は⑤です!
問15 災害対策基本法
気象業務支援センター
ポイント解説
災害対策基本法第54条に以下が記載されています。
災害が発⽣するおそれがある異常な現象を発⾒した者は,遅延なく,その旨を市町村⻑⼜は警察官若しくは(a)海上保安官に通報しなければならない。
通報を受けた警察官⼜は(a)海上保安官は,その旨をすみやかに市町村⻑に通報しなければならない。
通報を受けた市町村⻑は,(b)地域防災計画の定めるところにより,その旨を(c)気象庁その他の関係機関に通報しなければならない。
よって解答は⑤です!
第65回気象予報士試験一般知識はこれで終わりです。
皆さん、お疲れさまでした!
















